Skip to content Skip to sidebar Skip to footer

Nguyên Hàm Cơ Bản / Nguyên hàm | Bài 1 - Kiến thức cơ bản về nguyên hàm ... / Các công thức nguyên hàm mở rộng.

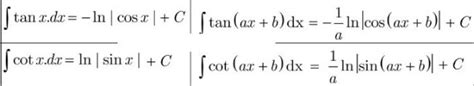
Nguyên Hàm Cơ Bản / Nguyên hàm | Bài 1 - Kiến thức cơ bản về nguyên hàm ... / Các công thức nguyên hàm mở rộng.. These are just simple antiderivatives, and we need to evaluate it from 0 to 2. Giúp ích cho rất nhiều các bạn đây. Câu hỏi khác về nguyên hàm và tích phân biến đổi về dạng cơ bản. ( các bạn chú ý hệ số a được tô chữ màu đỏ ). Tìm một biểu thức cho nguyên hàm là công việc khó hơn so với việc tìm đạo hàm.

Chúc các bạn học tập tốt ! Dưới đây là bảng nguyên hàm của tất các hàm số phố biến thường gặp nhất chi tiết nhất, mời các bạn cùng tham khảo! Tìm một biểu thức cho nguyên hàm là công việc khó hơn so với việc tìm đạo hàm. Bảng này được biên soạn bởi thầy trương hoài. Hàm số f(x) dược gọi là nguyên hàm của hàm số f(x) trên k nếu f'(x)=f(x).

LỚP 12 CHƯƠNG 3 BÀI 1 NGUYÊN HÀM CƠ BẢN PHẦN 2 - YouTube
LỚP 12 CHƯƠNG 3 BÀI 1 NGUYÊN HÀM CƠ BẢN PHẦN 2 - YouTube from i.ytimg.com
See also the examples in liouvillian function and nonelementary integral. Như vậy là các bạn đã được bổ sung lại kiến thức cơ bản và nâng cao về đạo hàm của hàm số thông qua bảng công thức đạo hàm trên đây. Kĩ thuật chọn hệ số điều chỉnh khi tính tích phân từng phần. B) bảng nguyên hàm mở rộng. Công thức đạo hàm cơ bản. Công thức nguyên hàm lương giác cơ bản. Phân chia bài tập theo các dạng, tổng hợp những những câu hỏi hay, khó, thường xuất hiện trong các đề thi, đề tuyển sinh sẽ giúp các bạn học sinh nắm chắc hơn kiến thức môn toán. (đưa $i$ về các dạng nguyên hàm cơ bản đã biết):

Bùi mạnh hùng, 44 tuổi, nguyên trưởng phòng tổng hợp văn phòng ubnd tỉnh đồng nai, bị bắt với cáo buộc lừa tiền xin dự án.

Công thức nguyên hàm cơ bản. Mọi thắc mắc về bảng nguyên hàm, công thức tính nguyên hàm từ cơ bản đến năng cao dean2020 mong sẽ giúp được chút kiến thức cho các bạn. Nguyên hàm lượng giác , bài tập trắc nghiệm. Tính đạo hàm bằng máy tính như thế nào? Cho các hàm số f(x), g(x) liên tục trên k và a, b, c là những số thuộc k. Tìm một biểu thức cho nguyên hàm là công việc khó hơn so với việc tìm đạo hàm. Kĩ thuật chọn hệ số điều chỉnh khi tính tích phân từng phần. Có thể xem thêm các ví dụ khác tại hàm số liouville và nguyên hàm không cơ bản. · các nguyên hàm của f(x) trên k sai khác hiểu bản chất bài toán cực trị trong hình tọa độ trong không gian (có hướng dẫn chi tiết)(23/03). Nguyên hàm lượng giác là dạng nguyên hàm phức tạp và xuất hiện nhiều trong các đề thi, muốn làm tốt dạng toán này, các em. See also the examples in liouvillian function and nonelementary integral. Bài viết tập hợp lại đầy đủ các công thức tính nguyên hàm, tích phân, từng phần giúp các bạn bổ sung ôn kiến thức nhằm thi đại học và nắm vững kiến thức. These are just simple antiderivatives, and we need to evaluate it from 0 to 2.

(đưa $i$ về các dạng nguyên hàm cơ bản đã biết): Công thức nguyên hàm cơ bản. Mọi thắc mắc về bảng nguyên hàm, công thức tính nguyên hàm từ cơ bản đến năng cao dean2020 mong sẽ giúp được chút kiến thức cho các bạn. Dưới đây là một số công thức tính nguyên hàm cơ bản thường được sử dụng Kĩ thuật chọn hệ số điều chỉnh khi tính tích phân từng phần.

Bảng công thức đạo hàm nguyên hàm cơ bản cần nhớ
Bảng công thức đạo hàm nguyên hàm cơ bản cần nhớ from vnn-imgs-a1.vgcloud.vn
Công thức mở rộng nguyên hàm lượng giác cơ bản. Các phương pháp tính nguyên hàm. + hàm số xác định trên. Phân chia bài tập theo các dạng, tổng hợp những những câu hỏi hay, khó, thường xuất hiện trong các đề thi, đề tuyển sinh sẽ giúp các bạn học sinh nắm chắc hơn kiến thức môn toán. B) bảng nguyên hàm mở rộng. Bài viết tập hợp lại đầy đủ các công thức tính nguyên hàm, tích phân, từng phần giúp các bạn bổ sung ôn kiến thức nhằm thi đại học và nắm vững kiến thức. * công thức nguyên hàm cơ bản (hàm vô tỉ, hữu tỉ, hàm mũ, hàm e, hàm lượng giác). Trung tâm có giới thiệu một các em có thể tải bảng công thức nguyên hàm này về và in ra thành giấy để đâu đó cho tiện nhìn thấy nhất.

Đây là nguyên hàm cơ bản và chúng ta cần giới hạn từ 0 đến 2.

Bảng đạo hàm và nguyên hàm. Nguyên hàm lượng giác , bài tập trắc nghiệm. Khi đó, tính chất và công thức tính phân như sau bài viết trên đây đã cung cấp cho bạn những kiến thức về tính chất của tích phân, công thức tính tích phân cơ bản và các phương pháp giải một số bài tập tích phân phổ biến. · các nguyên hàm của f(x) trên k sai khác hiểu bản chất bài toán cực trị trong hình tọa độ trong không gian (có hướng dẫn chi tiết)(23/03). Bảng các công thức nguyên hàm từ cơ bản, cho đến nâng cao giúp các bạn giải quyết khá nhiều bài toán vô cùng hóc búa và nó gắng liền với quá trình học tập của các bạn học với những công thức nguyên hàm, các bạn có thể lưu lại và sử dụng cho những khi cần dùng đến để áp dụng làm bài tập. * công thức nguyên hàm cơ bản (hàm vô tỉ, hữu tỉ, hàm mũ, hàm e, hàm lượng giác). Bài viết tập hợp lại đầy đủ các công thức tính nguyên hàm, tích phân, từng phần giúp các bạn bổ sung ôn kiến thức nhằm thi đại học và nắm vững kiến thức. Mời các bạn tham khảo. Bài viết này sẽ tập hợp toàn bộ những công thức tính nguyên hàm cơ bản nhất mong sẽ giúp các bạn có thể học tập được tốt hơn. Chúc các bạn học tập tốt ! Quá trình tìm nguyên hàm được gọi là tích phân bất định. Các công thức nguyên hàm mở rộng. Nguyên hàm cơ bản | thầy nguyễn phan tiến.

+ hàm số xác định trên. Đầu tiên ta cùng xem lại định nghĩa và một số tính chất của nguyên hàm để vận dụng vào những dạng bài tập cơ bản. Ta có thể lựa chọn một trong hai cách sau: Dưới đây là bảng nguyên hàm của tất các hàm số phố biến thường gặp nhất chi tiết nhất, mời các bạn cùng tham khảo! Cho các hàm số f(x), g(x) liên tục trên k và a, b, c là những số thuộc k.

Bảng Nguyên Hàm và Các Công Thức Nguyên Hàm đầy đủ
Bảng Nguyên Hàm và Các Công Thức Nguyên Hàm đầy đủ from giasuhanoigioi.edu.vn
Tuyển tập 651 bài tập trắc nghiệm số phức cơ bản. Nguyên tắc đếm có 2 biến cố. Chúc các bạn học tập tốt ! Tìm một biểu thức cho nguyên hàm là công việc khó hơn so với việc tìm đạo hàm. Bảng công thức nguyên hàm là vô cùng quan trọng và không thể thiếu đối với các bạn học sinh lớp 12 với phần học giải tích. Bảng các công thức nguyên hàm từ cơ bản, cho đến nâng cao giúp các bạn giải quyết khá nhiều bài toán vô cùng hóc búa và nó gắng liền với quá trình học tập của các bạn học với những công thức nguyên hàm, các bạn có thể lưu lại và sử dụng cho những khi cần dùng đến để áp dụng làm bài tập. Các phương pháp tính nguyên hàm. Nếu $a > 0$ và $\delta < 0$ thì ta thực hiện theo.

Nguyên hàm cơ bản | thầy nguyễn phan tiến.

Cho các hàm số xác định trên k. Mời các bạn tham khảo. Bảng đạo hàm và nguyên hàm. Chúc các bạn học tập tốt ! Bảng công thức nguyên hàm là vô cùng quan trọng và không thể thiếu đối với các bạn học sinh lớp 12 với phần học giải tích. + với là một hằng số nào đó, ta luôn có nên tổng quát hóa ta viết. Công thức đạo hàm cơ bản. Bài viết này sẽ tập hợp toàn bộ những công thức tính nguyên hàm cơ bản nhất mong sẽ giúp các bạn có thể học tập được tốt hơn. Các nguyên tắc về phép đếm phép đếm 1. Bài giảng nguyên hàm hữu tỉ (nền tảng cách nhanh) _toán 12_ thầy nguyễn quốc chí đăng kí học online đầy đủ. A) bảng công thức nguyên hàm cơ bản. Cho các hàm số f(x), g(x) liên tục trên k và a, b, c là những số thuộc k. Máy tính cầm tay là một công cụ đắc lực trong việc tính đạo hàm cấp 1, cấp 2.

+ hàm số xác định trên nguyên hà. Các nguyên tắc về phép đếm phép đếm 1.